El operador „site:“ („site:sistrix.es“) nos muestra los URLs indexados por Google. Aun se discute con regularidad sobre si la secuencia con el que Google enseña estos resultados se rige bajo algún principio. La última vez que Matt Cutts tocó el tema en un Video de Google para Webmasters que se publicó hace 4 años, se podían sacar las siguientes conclusiones:
- Para ordenar los resultados Google se basa en diferentes factores. Para ello usan un poco el PageRanke pero no la misma secuencia que usa PageRanke.
- Google considera otros factores como por ejemplo, el largo del URL.
- El orden es una aproximación relativamente buena a los contenidos más interesantes de un Dominio, pero no la llamarían una lista perfecta.
Hace sólo un par de días John Müller tocó de nuevo el Tema en Google Product Forums. El escribió que él no se rompería la cabeza con la secuencia de los resultados siempre y cuando la página de inicio del dominio continue estando indexada. La indexación se pude comprobar con el operador „info:http://“, por ejemplo: „info:http://www.sistrix.es/„.
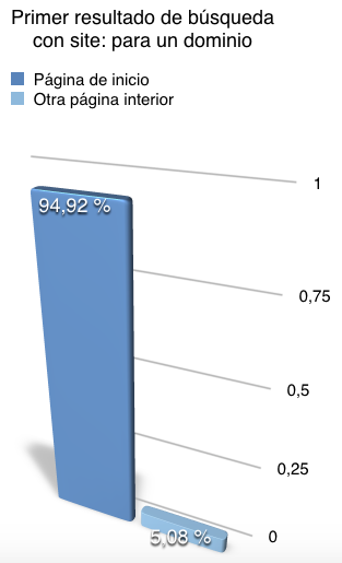
Para observar la frecuencia con la que se da este caso, he realizado una búsqueda con el operador „site:“ de 10.000 Dominios y así verificar si la página de inicio u otra página interior de un Dominio se posiciona en primer lugar:
En casi el 95% de los dominios comprobados salen en primer lugar la página de inicio del dominio, en un 5% de los dominios no se da este caso, es decir, Google se decide por una página interior de ese dominio. Desde la perspectiva de John Müller es naturalmente simple aconsejar no preocuparse por el orden de la secuencia. Pero si damos por hecho que desde el video de Matt Cutts no ha cambiado nada en el orden de los resultados, entonces la secuencia de los resultados haciendo uso del operador «site:» debería corresponder a la importancia de las páginas interiores de un Dominio tal y como se esperaría según Matt Cutts.
Función del operador “site:“: Obtener resultados de varios sitios o dominios. Por ejemplo, puedes encontrar todas las menciones del término «olimpiadas» en el sitio web de RTVE o en cualquier sitio web .gov. Ejemplo: olimpiadas site:rtve.es y olimpiadas site:.gov (Fuente: Google, https://support.google.com/websearch/answer/2466433?hl=es)
